반응형
LaTeX로 논문을 작성하고 있으면 수식을 2줄 이상으로 입력해야 할 경우가 있는데,
이때에 각각의 수식마다 식 번호를 붙여 넣냐 마나에 따라 사용 가능한 명령어가 갈린다.
보통 수식을 넣을 때 사용하는 "equation" 은 2줄 이상의 입력이 안되기 때문에,
수식 번호를 합하여 나타낼 경우에는 아래와 같이 입력해 주는 것이 낫더라.
| \begin{equation} \begin{array}{cl} \dot{x}(t) &= Ax(t) + Bu(t), \ x(0) = x_0 \\ y(t) &= Cx(t) \end{array} \label{eq:label} \end{equation} |
위의 입력에 따른 식의 표현은 아래와 같다.

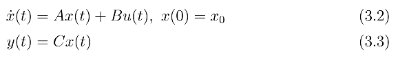
그러나, 각각의 수식에 대해서 수식 번호를 나타내고 싶다면 "eqnarray"를아래와 같이 "align" 을 사용해도 된다.
| \begin{align} \dot{x}(t) &= Ax(t) + Bu(t), \ x(0) = x_0 \\ y(t) &= Cx(t) \label{eq:label} \end{align} |
위의 입력에 따른 식의 표현은 아래와 같다.

"align"으로도 "\nonumber" 명령어를 이용하면 수식 번호를 하나로 나타 낼 수 있는데,
이게 본문에서 참조를 하니까 참조 번호가 밀려 버리는 현상이 일어나는 거 같다.
왜인지는 알 수 없는데, 수식 번호를 하나로 설정하고 싶은 경우에는 "array"를 사용하여서 나타내는 게 좋은 거 같다.
개인적으로 잊어버리지 않기 위해 남겨놓는 것이나, 참고가 되었으면 한다.
반응형